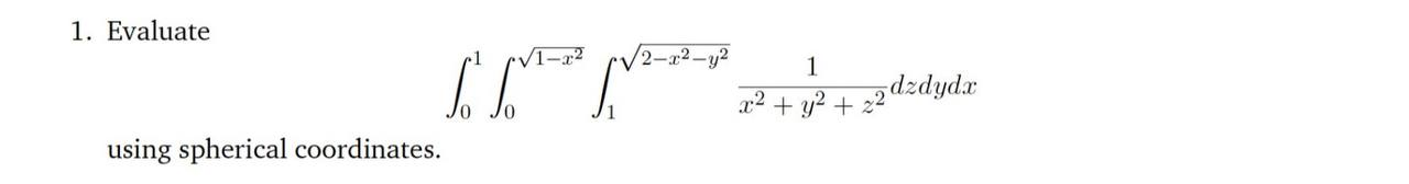
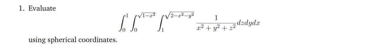
Mathematics Questions and Answers December 02, 2020

Expert-verified solutions to help you succeed

Showing 200 - 300 of 1514
  • 3 / 16