Mathematics Questions and Answers October 24, 2020

Expert-verified solutions to help you succeed

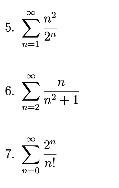
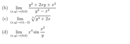
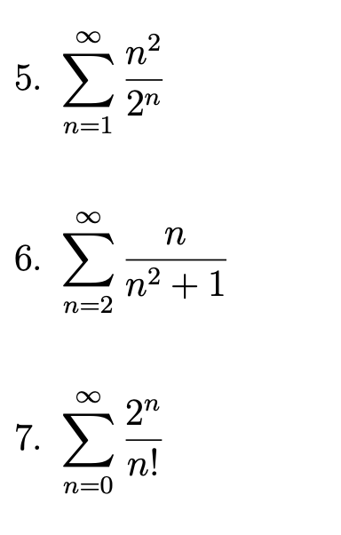
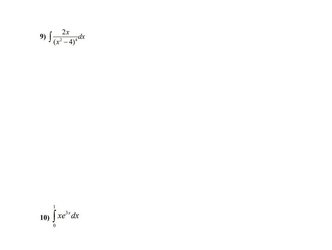
Showing 300 - 400 of 1501
  • 4 / 16