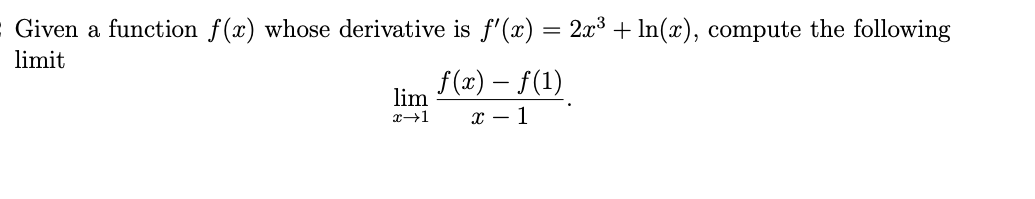
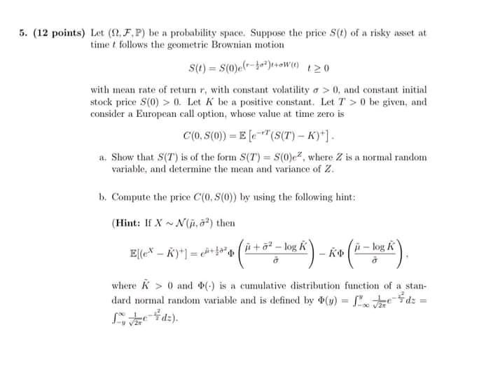
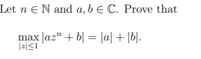
Mathematics Questions and Answers May 18, 2021

Expert-verified solutions to help you succeed

Showing 700 - 800 of 1503
  • 8 / 16