Mathematics Questions and Answers September 24, 2021

Expert-verified solutions to help you succeed

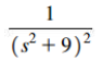
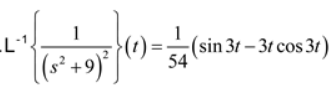
Showing 900 - 1000 of 1405
  • 10 / 15