Mathematics Questions and Answers August 22, 2022

Expert-verified solutions to help you succeed

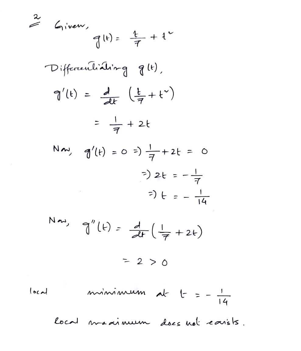
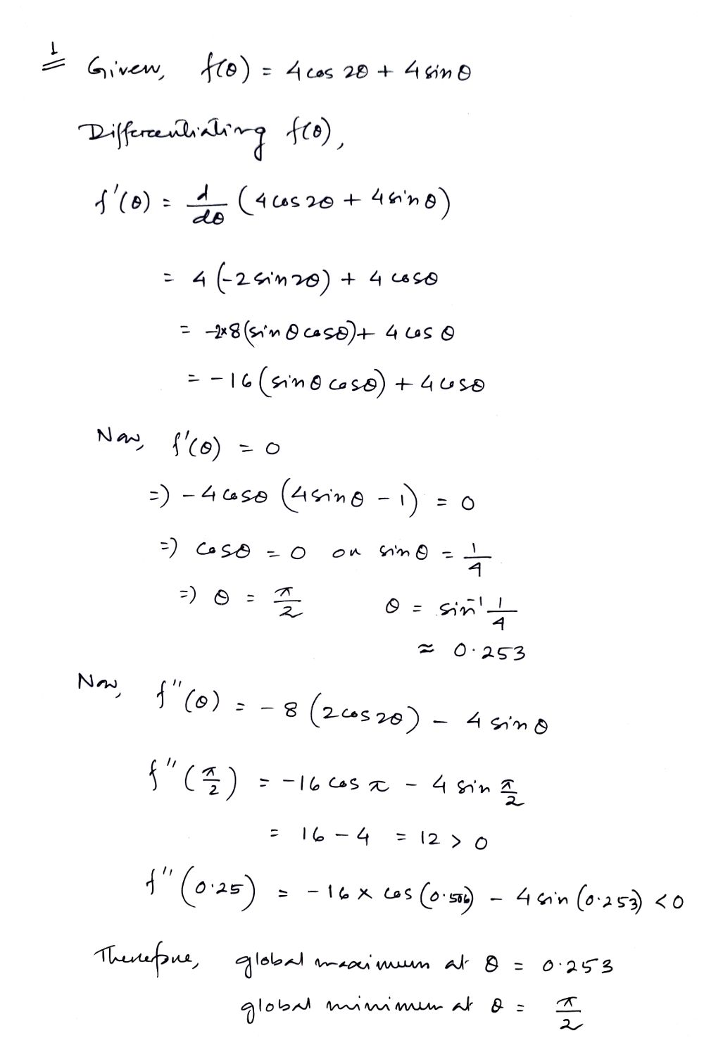
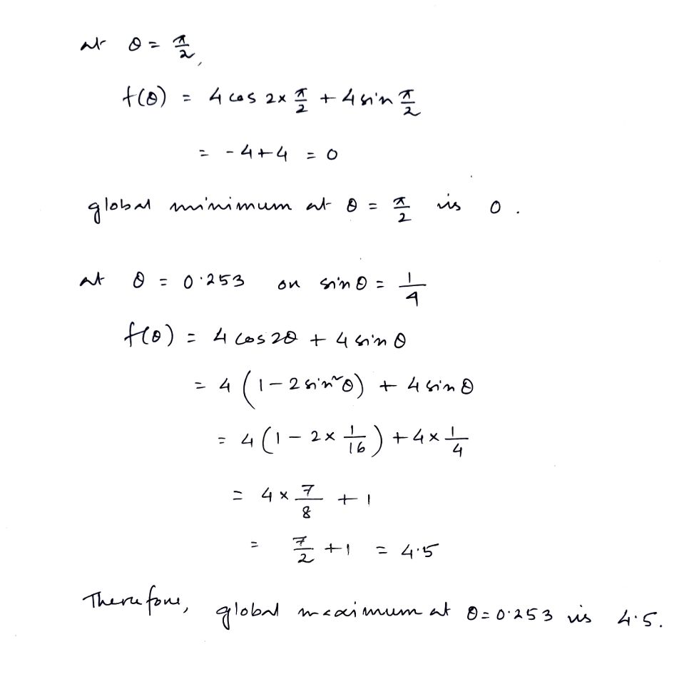
Showing 1300 - 1400 of 1499
  • 14 / 15