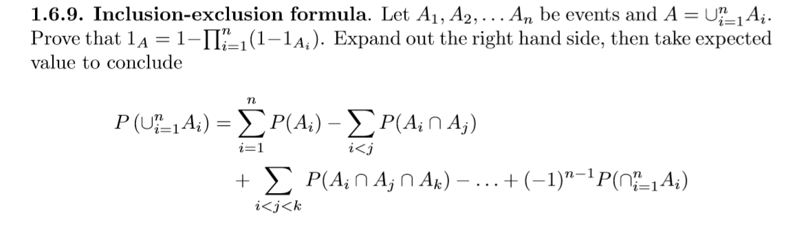
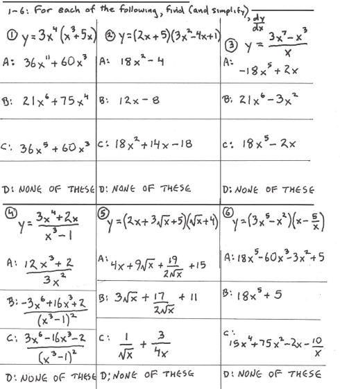
Mathematics Questions and Answers August 23, 2022

Expert-verified solutions to help you succeed

Showing 500 - 600 of 1994
  • 6 / 20