Mathematics Questions and Answers September 27, 2022

Expert-verified solutions to help you succeed

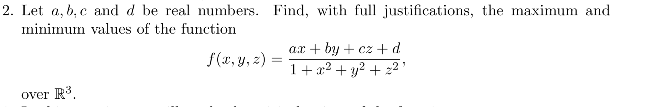
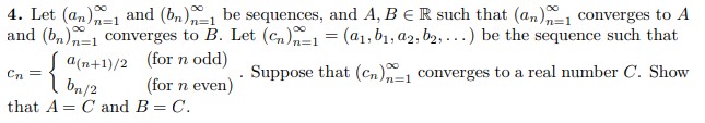
Showing 1200 - 1300 of 1499
  • 13 / 15