Mathematics Questions and Answers May 06, 2023

Expert-verified solutions to help you succeed

Showing 1400 - 1500 of 1501
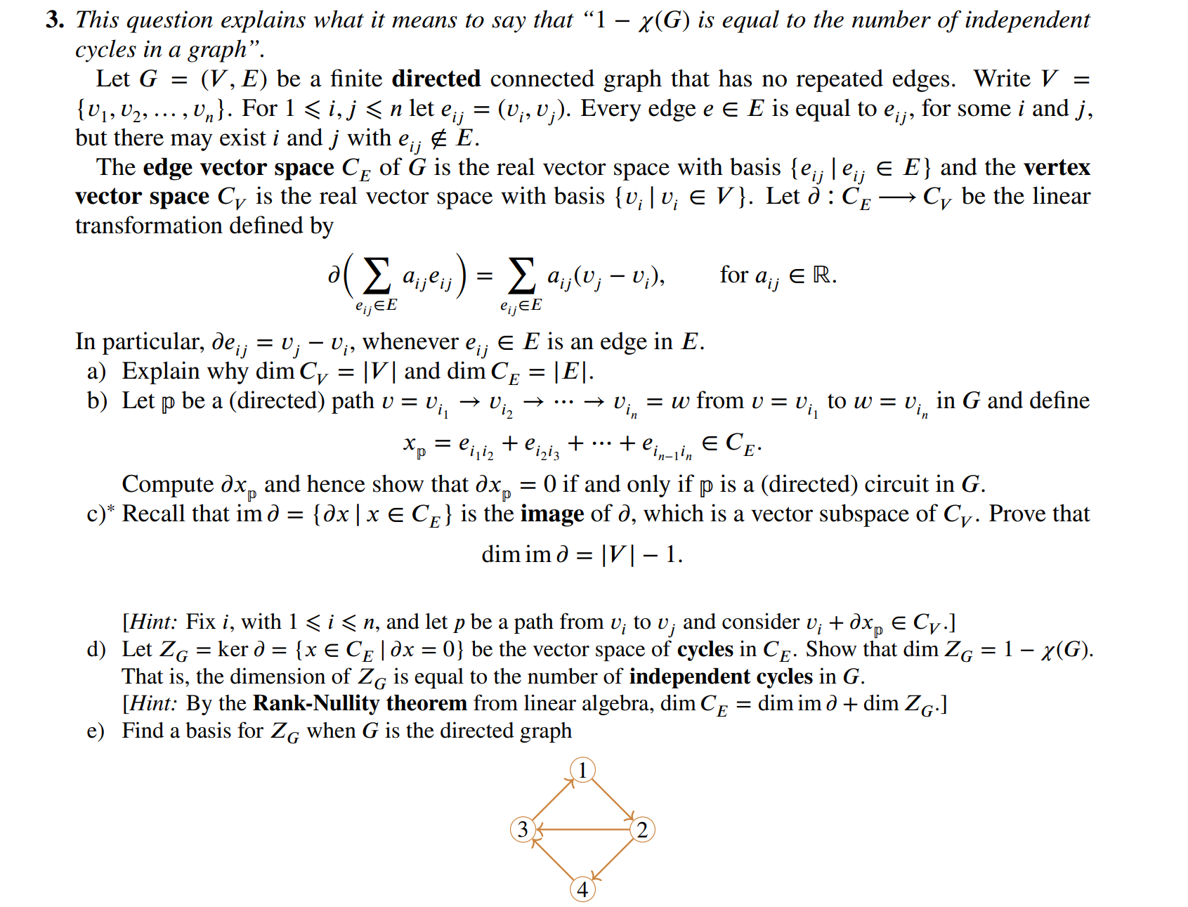
  • 15 / 16