Mathematics Questions and Answers May 21, 2023

Expert-verified solutions to help you succeed

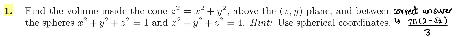
Showing 500 - 600 of 1500
  • 6 / 15