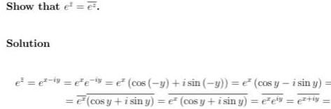
Question: Show that e. Solution e = ei = ee = e (cos (-y)+isin (-y)) = (cos y - i sin y) = (cos y
Show that e. Solution e = ei = ee = e (cos (-y)+isin (-y)) = (cos y - i sin y) = (cos y + i sin y) = e (cos y + i sin y) = ee = e+iy=
Step by Step Solution
There are 3 Steps involved in it
Get step-by-step solutions from verified subject matter experts
