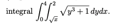
Question: show work, write answer exact) Reverse the order of integration and evaluate the iterated show work, umite answer exact) Reverse the order of integration and




show work, write answer exact) Reverse the order of integration and evaluate the iterated
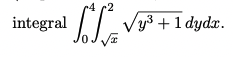
show work, umite answer exact) Reverse the order of integration and evaluate the iterated
Step by Step Solution
There are 3 Steps involved in it
Get step-by-step solutions from verified subject matter experts
