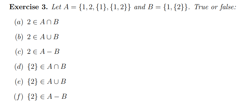
Question: Solve each number. Show solution. Show explanations if possible. Exercise 4. Let A = (2) (4) (5) {a, b, c, d, e} and let B




Solve each number. Show solution. Show explanations if possible.




Exercise 4. Let A = (2) (4) (5) {a, b, c, d, e} and let B {1, 2}. Find (3) Is(a, 2 in B Is (2, a) e BXA?
Step by Step Solution
There are 3 Steps involved in it
Get step-by-step solutions from verified subject matter experts
