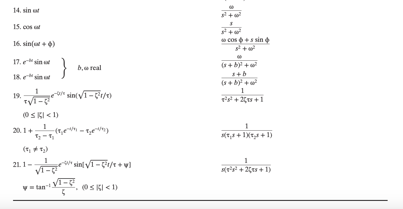
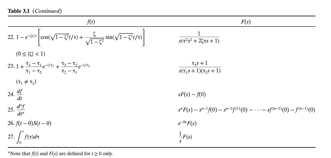
Question: Solve the following differential equations using Laplace Transforms, using the posted table 3.1, and with all derivatives of f(0)=f(0)=f(0)=0. (d) 6(d2f/dt2)+5(df/dt)+f(t)=9 (e) 16(d2f/dt2)+4(df/dt)+f(t)=10 Table 3.1




Solve the following differential equations using Laplace Transforms, using the posted table 3.1, and with all derivatives of f(0)=f(0)=f(0)=0. (d) 6(d2f/dt2)+5(df/dt)+f(t)=9 (e) 16(d2f/dt2)+4(df/dt)+f(t)=10 Table 3.1 Laplace Transforms for Various Time-Domain Functions* 14. sint 15. cost 16. sin(t+) s2+2 17.ebtsint18.ebtsint}b, real s2+2s s2+2cos+ssin 19. 121et/sin(12t/) (s+b)2+2(s+b)2+2s+b (0
Step by Step Solution
There are 3 Steps involved in it
Get step-by-step solutions from verified subject matter experts
