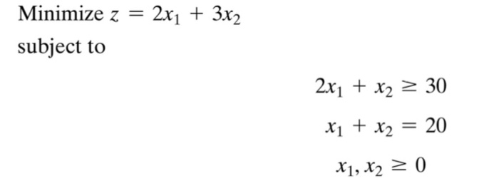
Question: Solve the following problem using Dual Simplex Algorithm . 2x1 + 3x2 Minimize z subject to 2x1 + x2 > 30 x1 + x2 =
Solve the following problem using Dual Simplex Algorithm .
Step by Step Solution
There are 3 Steps involved in it
1 Expert Approved Answer
Step: 1 Unlock
Question Has Been Solved by an Expert!
Get step-by-step solutions from verified subject matter experts
Step: 2 Unlock
Step: 3 Unlock
