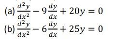
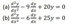
Question: Solve the following second order ordinary differential equations d2 dy (a) 9 + 20y = 0 dx2 dx b 6 ~ + 25y = 0

Solve the following second order ordinary differential equations

d2 dy (a) 9 + 20y = 0 dx2 dx b 6 ~ + 25y = 0 dx2 dx
Step by Step Solution
There are 3 Steps involved in it
Get step-by-step solutions from verified subject matter experts
