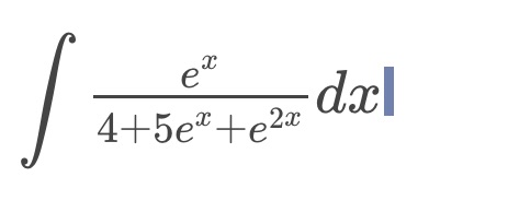
Question: State the integration method or formula you would use for following problems. Explain why you chose that. e 4+5ete2x dal

State the integration method or formula you would use for following problems. Explain why you chose that.

e 4+5ete2x dal
Step by Step Solution
There are 3 Steps involved in it
Get step-by-step solutions from verified subject matter experts
