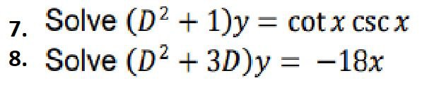
Question: Subject: Advance Math Please answer the ff with Laplace Transform and MUC. Complete solution, thank you. 1, Find the inverse Laplace transform of 1-e-25) (1+e-65
Subject: Advance Math Please answer the ff with Laplace Transform and MUC. Complete solution, thank you.



Step by Step Solution
There are 3 Steps involved in it
Get step-by-step solutions from verified subject matter experts
