Question: Suppose that there are n decision-making units to be evaluated. Each unit consumes m inputs to produce s outputs. In particular, the jth unit consumes

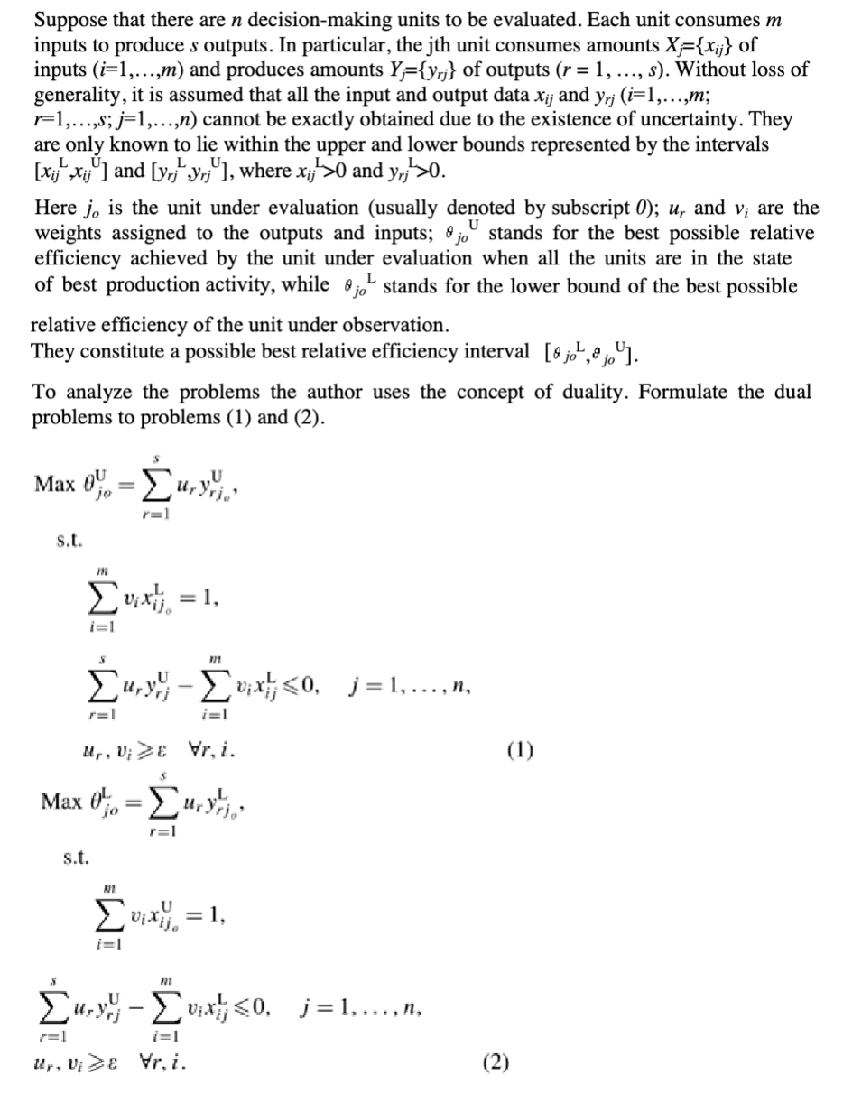
Suppose that there are n decision-making units to be evaluated. Each unit consumes m inputs to produce s outputs. In particular, the jth unit consumes amounts Xj={xij} of inputs (i=1,,m) and produces amounts Yj={yrj} of outputs (r=1,,s). Without loss of generality, it is assumed that all the input and output data xij and yrj(i=1,,m; r=1,,s;j=1,,n) cannot be exactly obtained due to the existence of uncertainty. They are only known to lie within the upper and lower bounds represented by the intervals [xijL,xijU] and [yrjL,yrjU], where xijL>0 and yrjL>0. Here jo is the unit under evaluation (usually denoted by subscript 0 ); ur and vi are the weights assigned to the outputs and inputs; joU stands for the best possible relative efficiency achieved by the unit under evaluation when all the units are in the state of best production activity, while joL stands for the lower bound of the best possible relative efficiency of the unit under observation. They constitute a possible best relative efficiency interval [joL,joU]. To analyze the problems the author uses the concept of duality. Formulate the dual problems to problems (1) and (2). MaxjoU=r=1suryrjoUs.t.i=1mvixijoL=1r=1suryrjUi=1mvixijL0,j=1,,n,ur,vir,i.MaxjoL=r=1suryrjoL,s.t.i=1mvixijiU=1r=1suryrjUi=1mvixijL0,j=1,,nur,vir,i
Step by Step Solution
There are 3 Steps involved in it
Get step-by-step solutions from verified subject matter experts
