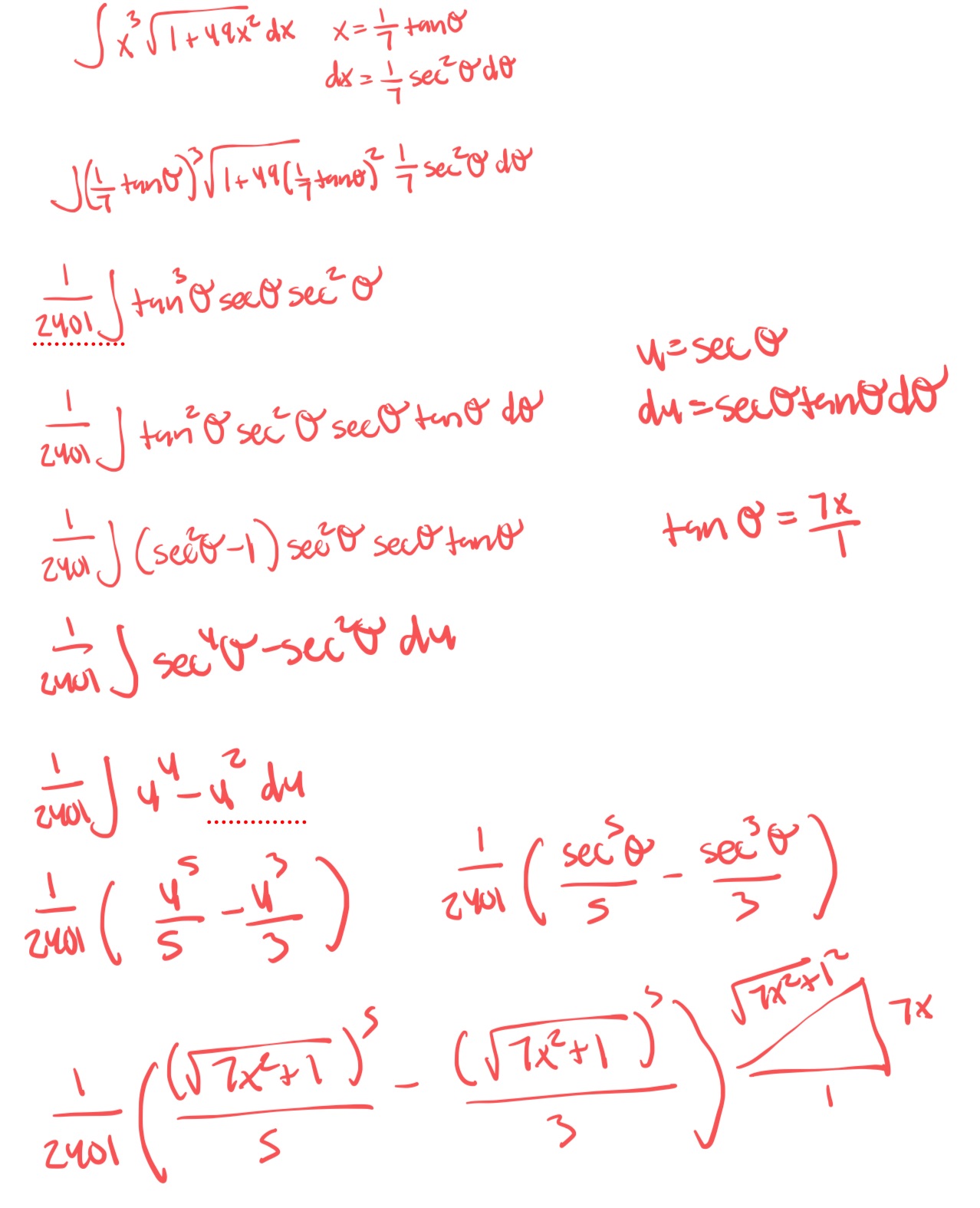
Question: tano tano dx = sec odo 24/01 | tun & salt see o 2401 see J tan & sex & see tano do 4=sec0
tano tano dx = sec odo 24/01 | tun & salt see o 2401 see J tan & sex & see tano do 4=sec0 du = secotando 24 J (see F-1) see o seco fant tan 0 = 7x 2401 o seco-sec du 2401 4 4-4 yun du (3-4) 2401 S seco seco - 2401 S 2401 S (78+1 772+12 3
Step by Step Solution
There are 3 Steps involved in it
1 Expert Approved Answer
Step: 1 Unlock
Question Has Been Solved by an Expert!
Get step-by-step solutions from verified subject matter experts
Step: 2 Unlock
Step: 3 Unlock
