Question: Task 1 B ( 1 0 ) Case Study: Buttercup Bakery Buttercup Bakery, a family - owned establishment located in Johannesburg, is the supplier of
Task B
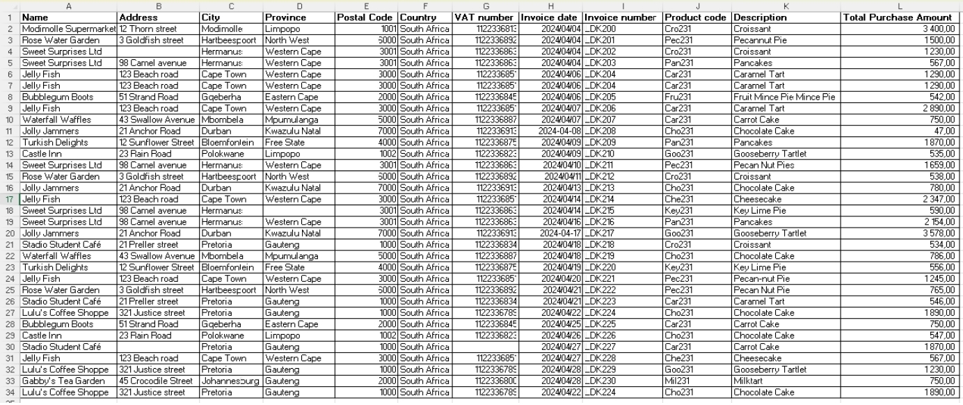
Case Study: Buttercup Bakery
Buttercup Bakery, a familyowned establishment located in Johannesburg, is the supplier of baked goods to customers
nationwide. You have been entrusted with a data set containing sales figures for the month of April as per the
spreadsheet provided below which will serve as the foundation for data analysis to inform managements decisionmaking.
Typically, monthly sales at Buttercup Bakery fall within the range of R to R
In your capacity as the companys data analyst, you convey to the management team the requirement for an extension of
the analysis timeline. You explain that the data set necessitates initial preparation through data cleansing before the
analysis can commence.
Describe to management the concept of data cleaning, using the background in the case study
Buttercup Bakery and the data set presented above as an illustrative example.
Step by Step Solution
There are 3 Steps involved in it
1 Expert Approved Answer
Step: 1 Unlock
Question Has Been Solved by an Expert!
Get step-by-step solutions from verified subject matter experts
Step: 2 Unlock
Step: 3 Unlock
