Question: Task 1 ----------------------------- - Read the attachment Specific Heat Capacity AND Heat of Fusion/Heat of Vaporization Problems and finish all the 2 papers - YOU
Task 1
-----------------------------
- Read the attachment "Specific Heat Capacity AND Heat of Fusion/Heat of Vaporization Problems" and finish all the 2 papers
- YOU MUST GET ALL THE ANSWERS RIGHT
- Consider the attachment named "Thermodynamic Properties of selected compounds" while completing this task
- Also, provide steps too.
- Please help me with this task
- Please take your time, even more than 1 or 2 hours, but make sure ALL answers are correct, triple check all answers
CONSIDER THE ATTACHMENT NAMED "THERMODYNAMIC PROPERTIES OF SELECTED COMPOUNDS" ON THE QUESTIONS WHILE COMPLETING THIS TASK
ALL ANSWERS MUST BE CORRECT
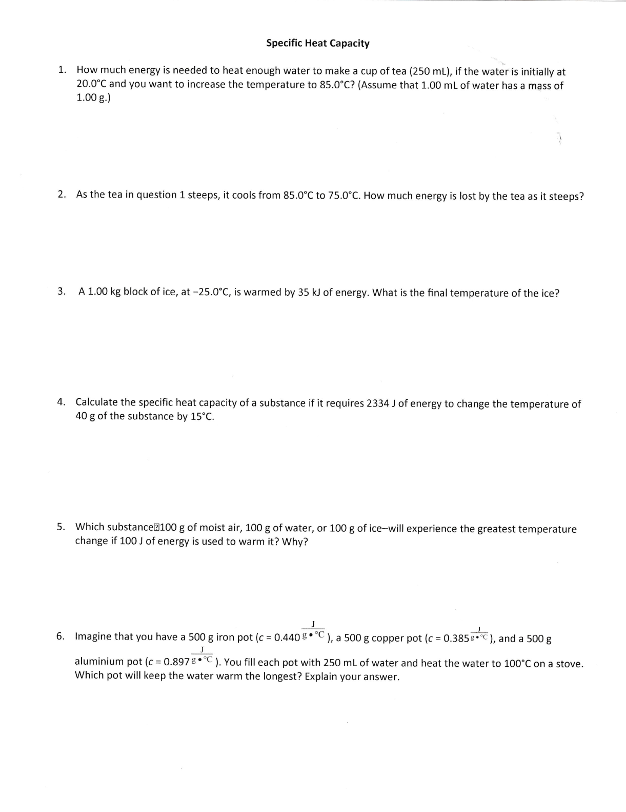
Specific Heat Capacity AND Heat of Fusion/Heat of Vaporization Problems



7. A 5.0 g sample of an unidentified metal absorbs 71 J of energy as its temperature increases from 125 C to 162 C. What metal is the sample? (Hint: See the data in question 6.) Heat of Fusion and Heat of Vaporization Problems 1. How much energy is released when 2.05 mol of water vapour, at 100 C, condenses with no change in temperature? 2. An ice-cube tray has 24 cubes. If each cube contains 25 g of water, how much energy must be removed to freeze all the water in the tray from liquid water at 0.0 C to ice at 0.0 C? 3. One canister of butane (a fuel) provides 695 kJ of energy when it is burned. How many cups of water at 100.0 C can you convert to steam at 100.0 C using one canister of butane? (Each cup of water is equivalent to 250 mL.) 4. Which causes a worse burn, steam at 100 C or liquid water at 100 C? Why? 5. Liquid methanol will evaporate into the air if it is spilled. This will happen more quickly if it is on your hand. How much energy would have to come from your skin if 5.24 g of methanol evaporates to gas?7. A 5.0 g sample of an unidentified metal absorbs 71 J of energy as its temperature increases from 125 C to 162 C. What metal is the sample? (Hint: See the data in question 6.) Heat of Fusion and Heat of Vaporization Problems 1. How much energy is released when 2.05 mol of water vapour, at 100 C, condenses with no change in temperature? 2. An ice-cube tray has 24 cubes. If each cube contains 25 g of water, how much energy must be removed to freeze all the water in the tray from liquid water at 0.0 C to ice at 0.0 C? 3. One canister of butane (a fuel) provides 695 kJ of energy when it is burned. How many cups of water at 100.0 C can you convert to steam at 100.0 C using one canister of butane? (Each cup of water is equivalent to 250 mL.) 4. Which causes a worse burn, steam at 100 C or liquid water at 100 C? Why? 5. Liquid methanol will evaporate into the air if it is spilled. This will happen more quickly if it is on your hand. How much energy would have to come from your skin if 5.24 g of methanol evaporates to gas?Specific Heat Capacity 1. How much energy is needed to heat enough water to make a cup of tea (250 mL), if the water is initially at 20.0'C and you want to increase the temperature to 85.0 C? (Assume that 1.00 ml of water has a mass of 1.00 g.) 2. As the tea in question 1 steeps, it cools from 85.0'C to 75.0C. How much energy is lost by the tea as it steeps? 3. A 1.00 kg block of ice, at -25.0'C, is warmed by 35 kJ of energy. What is the final temperature of the ice? 4. Calculate the specific heat capacity of a substance if it requires 2334 J of energy to change the temperature of 40 g of the substance by 15.C. 5. Which substance@100 g of moist air, 100 g of water, or 100 g of ice-will experience the greatest temperature change if 100 J of energy is used to warm it? Why? 6. Imagine that you have a 500 g iron pot (c = 0.4408 . "C ), a 500 g copper pot (c = 0.385: . C), and a 500 g aluminium pot (c = 0.897 8 . C). You fill each pot with 250 ml of water and heat the water to 100 C on a stove. Which pot will keep the water warm the longest? Explain your answer.Specific Heat Capacity 1. How much energy is needed to heat enough water to make a cup of tea (250 mL), if the water is initially at 20.0'C and you want to increase the temperature to 85.0 C? (Assume that 1.00 ml of water has a mass of 1.00 g.) 2. As the tea in question 1 steeps, it cools from 85.0'C to 75.0C. How much energy is lost by the tea as it steeps? 3. A 1.00 kg block of ice, at -25.0'C, is warmed by 35 kJ of energy. What is the final temperature of the ice? 4. Calculate the specific heat capacity of a substance if it requires 2334 J of energy to change the temperature of 40 g of the substance by 15.C. 5. Which substance@100 g of moist air, 100 g of water, or 100 g of ice-will experience the greatest temperature change if 100 J of energy is used to warm it? Why? 6. Imagine that you have a 500 g iron pot (c = 0.4408 . "C ), a 500 g copper pot (c = 0.385: . C), and a 500 g aluminium pot (c = 0.897 8 . C). You fill each pot with 250 ml of water and heat the water to 100 C on a stove. Which pot will keep the water warm the longest? Explain your answer.Thermodynamic Properties of Selected Compounds Specific Heat Capacity Heat of Fusion Heat of Vapourization Compound KJ KJ gc AH fus AH wap mol mol water 4.19 40.65 ice 2.00 6.01 steam 2.02 air 1.01 methanol (CH3OH(1)) 2.53 3.22 35.21 ethanol (C2Hs OH(1)) 2.44 4.93 38.56 ammonia (NH3(B)) 2.06 5.66 23.33 styrofoam 0.30 glass 0.84 wood 1.26 aluminum 0.897 10.79 294 copper 0.385 12.93 300.4 silver 0.235 11.28 258 iron 0.449 13.81 340 gold 0.129 12.72 324 nickel 0.444 17.04 377.5 zinc 0.388 7.07 123.6
Step by Step Solution
There are 3 Steps involved in it
Get step-by-step solutions from verified subject matter experts
