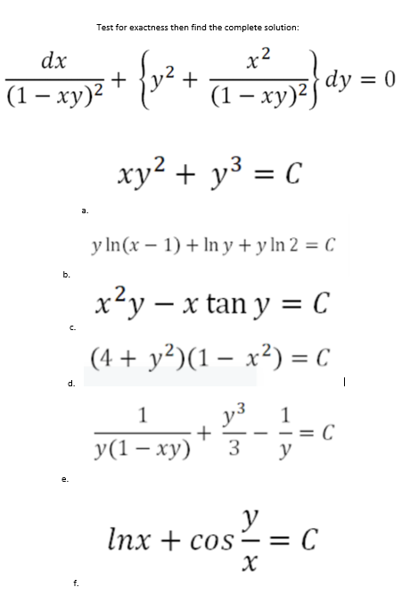
Question: Test for exactness then find the complete solution: dx (1 - xy)2 + yz + (1 - xy) 2 dy = 0 xy 2 +


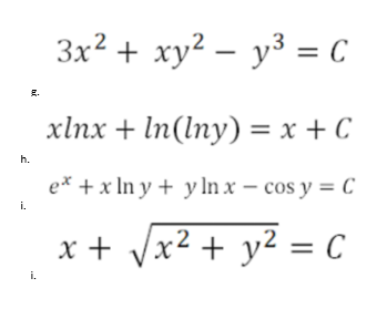
Test for exactness then find the complete solution: dx (1 - xy)2 + yz + (1 - xy) 2 dy = 0 xy 2 + y3 = C a_ yln(x - 1) + In y + yln2 = C b. x2y - x tany = C C. ( 4 + y 2 ) ( 1 - x2 ) = C d. 1 V3 + y (1 - xy) - 3 C Inx + cos - = C f.3x2+ xyz - 13 13 = C E. xinx + In(Iny ) = x + C h. ex + xlny + ylnx - cosy = C i. x t x2 + y2 = C
Step by Step Solution
There are 3 Steps involved in it
Get step-by-step solutions from verified subject matter experts
