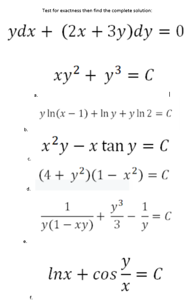
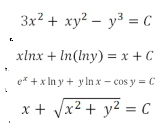
Question: Test for exactness then find the complete solution: ydx + (2x + 3y)dy = 0 xy2 + y3 = C a. - yln(x - 1)


Test for exactness then find the complete solution: ydx + (2x + 3y)dy = 0 xy2 + y3 = C a. - yln(x - 1) + Iny + yln2 = C b. xzy - x tany = C C. ( 4 + y 2 ) (1 - x2) = C d. 1 + - C y(1 - xy) 3 e_ 2 Inx + cos - = C x f.\f
Step by Step Solution
There are 3 Steps involved in it
Get step-by-step solutions from verified subject matter experts
