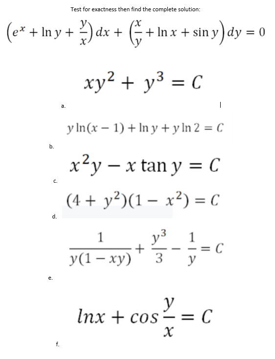
Question: Test for exactness then find the complete solution: ( ex + Iny + = ) dx + + In x + sin y ) dy


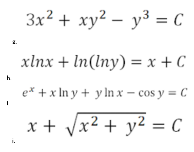
Test for exactness then find the complete solution: ( ex + Iny + = ) dx + + In x + sin y ) dy = 0 xy2 + y3 = C a. - yln(x - 1) + Iny + yln2 = C b. x2y - x tan y = C C. ( 4 + y 2) ( 1 - x2) = 0 d. 1 + - = C y(1 - xy) 3 e . Inx + cos - = C X f.\f
Step by Step Solution
There are 3 Steps involved in it
Get step-by-step solutions from verified subject matter experts
