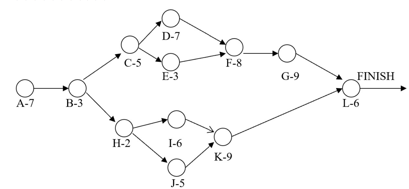
Question: THANK YOU FOR YOUR HELP WILL LIKE! D-7 a C-5 F-8 E-3 G-9 FINISH A-7 B-3 L-6 H-2 1-6 K-9 J-5 5 Find; a) identify
THANK YOU FOR YOUR HELP WILL LIKE!


Step by Step Solution
There are 3 Steps involved in it
1 Expert Approved Answer
Step: 1 Unlock
Question Has Been Solved by an Expert!
Get step-by-step solutions from verified subject matter experts
Step: 2 Unlock
Step: 3 Unlock
