Question: . The Integral Test: Let {(163021 be a positive sequence and suppose that f (3:) is an eventually continuous, positive, and decreasing function with f








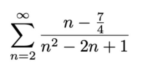
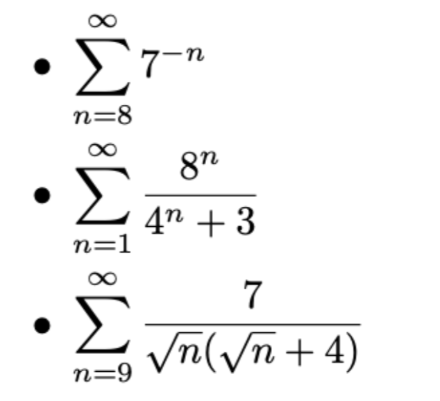
. The Integral Test: Let {(163021 be a positive sequence and suppose that f (3:) is an eventually continuous, positive, and decreasing function with f (n) = an for all n S N for some integer N. Then, a and oof(x)d:c Z L either both converge or both diverge. OO n - n 2 - 2n +1 n=2OO Compute f(x)dx NET n=8 OO M An + 3 n=1 7 n=9 Vn(Vn + 4)
Step by Step Solution
There are 3 Steps involved in it
Get step-by-step solutions from verified subject matter experts
