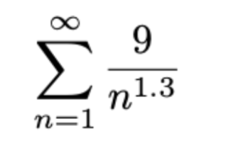
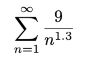
Question: The Integral Test: Let {Lin}$,:1 be a positive sequence and suppose that f (as) is an eventually continuous, positive, and decreasing function with f (n)






The Integral Test: Let {Lin}$,":1 be a positive sequence and suppose that f (as) is an eventually continuous, positive, and decreasing function with f (n) 2 can for all n g N for some integer N. Then, 00 Z (1;, and [N00 f(ac)da: k=N either both converge or both diverge.
Step by Step Solution
There are 3 Steps involved in it
Get step-by-step solutions from verified subject matter experts
