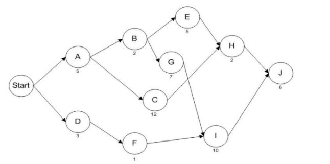
Question: The network below represents a project being analyzed by Critical Path Methods. Activity durations are A=5, B=2, C=12, D=3, E=5, F=1, G=7, H=2, I=10, and
The network below represents a project being analyzed by Critical Path Methods. Activity durations are A=5, B=2, C=12, D=3, E=5, F=1, G=7, H=2, I=10, and J=6.
| Activity Time (weeks) | Activity Cost ($) | ||||
| Activity | Activity Predecessor | Normal | Crash | Normal | Crash |
| A | -- | 16 | 8 | 2000 | 4400 |
| B | -- | 14 | 9 | 1000 | 1800 |
| C | A | 8 | 6 | 500 | 700 |
| D | A | 5 | 4 | 600 | 1300 |
| E | B | 4 | 2 | 1500 | 3000 |
| F | B | 6 | 4 | 800 | 1600 |
| G | C | 10 | 7 | 3000 | 4500 |
| H | D, E | 15 | 10 | 5000 | 8000 |


Question: Use the constructed project network, and crash the network the maximum amount possible
Results Task A B C D E F G H I J Early Start 0 5 5 0 7 3 7 17 14 24 Project Early Finish 5 7 17 3 12 4 14 19 24 30 30 Late Start 0 5 10 10 17 13 7 22 14 24 Late Finish 5 7 22 13 22 14 14 24 24 30 Slack 0 0 5 10 10 10 0 5 0 E B H A Start 12 D 1 F 10Step by Step Solution
There are 3 Steps involved in it
Get step-by-step solutions from verified subject matter experts
