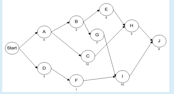
Question: The network below represents a project being analyzed by the critical path method. Activity durations are A=5, B=2, C=12, D=3, E=5, F=1, G=7, H=2, I=10,
The network below represents a project being analyzed by the critical path method. Activity durations are A=5, B=2, C=12, D=3, E=5, F=1, G=7, H=2, I=10, and J=6.

E 5 B A H 5 G 2 Start C D 12 3 F 10
Step by Step Solution
There are 3 Steps involved in it
Get step-by-step solutions from verified subject matter experts
