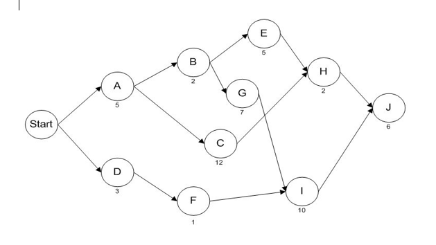
Question: The network below represents project being analyzed by Critical Path Methods Activity durations are A=5, B=2, C=12, D=3, E=5, F=1, G=7, H=2, I=10, and J=6
The network below represents project being analyzed by Critical Path Methods Activity durations are A=5, B=2, C=12, D=3, E=5, F=1, G=7, H=2, I=10, and J=6

1) Draw the Activity On Arc (AOA) graph of the first question and write the linear programming model for the project (Clearly state the decision variables, objective function and constraints.) do not use solutions to other questions on the site. Explain constraints in detail. what why is that?!
E B H Start 12 D 1 F 10 1Step by Step Solution
There are 3 Steps involved in it
Get step-by-step solutions from verified subject matter experts
