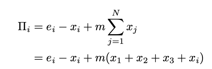
Question: The payoff function for player i depends on player is contribution and the contributions of the others in player is group. Where ei is the
The payoff function for player i depends on player is contribution and the contributions of the others in player is group.

Where ei is the initial endowment of tokens held by player i, xi is player is contribution, m is the share of the group contributions that each player receives and
is the sum of all contributions by each of the players in the group. 3 Suppose you have a group of N = 4 players, each player has an initial endowment of 20, and m = 0.25 (contributions are shared equally among all members of the group). Show that if all other players contribute their entire endowment, player is optimal decision is to contribute nothing (to free-ride). Hint: Compare the payoff when player i contributes the full endowment to the payoff when player i contributes nothing. Also show the impact of player is decision on the other group members by comparing their payouts when player i free rides and when player i contributes their full endowment
N ; = e; - C, +m j=1 = e; ; + m( + 2 + 3 +;) N -j=1 N ; = e; - C, +m j=1 = e; ; + m( + 2 + 3 +;) N -j=1
Step by Step Solution
There are 3 Steps involved in it
Get step-by-step solutions from verified subject matter experts
