Question: ** The problem needs the use of Polymath in order to be solved. (Multiple reactions with heat effects). Styrene can be produced from ethylbenzene by
**The problem needs the use of Polymath in order to be solved.

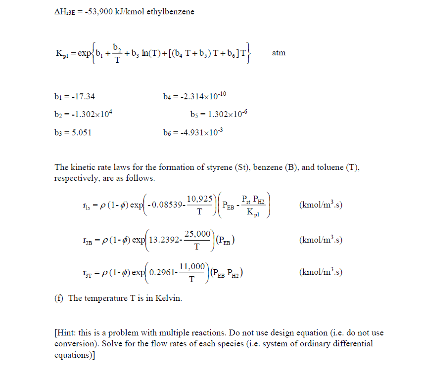
(Multiple reactions with heat effects). Styrene can be produced from ethylbenzene by the following reaction: ethylbenzene + styrene+H2 (1) However, several irreversible side reactions also occur: ethylbenzene benzene + ethylene (2) ethylbenzene+H, toluene + methane (3) [J. Snyder and B. Subramaniam, Chem. Eng. Sci., 49, 5585 (1994)]. Ethylbenzene is fed at a rate of 0.00344 kmol/s to a 10.0-m PFR reactor along with inert steam at a total pressure of 2.4 atm. The steam/ethylbenzene molar ratio is initially [i.e., parts (a) to (c)] 14.5:1 but can be varied. Given the following data, find the exiting molar flow rates of styrene, benzene, and toluene for the following inlet temperatures when the reactor is operated adiabatically. (a) To = 800 K (b) To = 930 K (c) To = 1100 K (d) Find the ideal inlet temperature for the production of styrene for a steam/ethyl benzene ratio of 58:1. (Hint: Plot the molar flow rate of styrene versus To. Explain why your curve looks the way it does). (e) Find the ideal steam/ethyl benzene ratio for the production of styrene at 900 K. (Hint: See part (d) AH13E = -53,900 kJ/kmol ethylbenzene = KI =exp, b. bz )[Tb) T +b, h(T) +[b. T+) T+bo]I} atm bi = -17.34 b4 = -2.314x10-10 b2 = -1.302x104 bs = 1.302x10-6 = b3 = 5.051 bo= -4.931x10-3 = The kinetic rate laws for the formation of styrene (St), benzene (B), and toluene (T), respectively, are as follows. 10,925 (-0.085 11. = P(1-0) exp -0.08539- P: PH2 (kmol/ms) T () . PEB 25,000 138 = P(1-0) exp 13.2392- T (PEB) (kmol/ms) 17 = P(1-6) exp(0.2961-4 11,000 (PEB PH2) T (kmol/ms) (f) The temperature T is in Kelvin. [Hint: this is a problem with multiple reactions. Do not use design equation (i.e. do not use conversion). Solve for the flow rates of each species (i.e. system of ordinary differential equations)]
Step by Step Solution
There are 3 Steps involved in it
Get step-by-step solutions from verified subject matter experts
