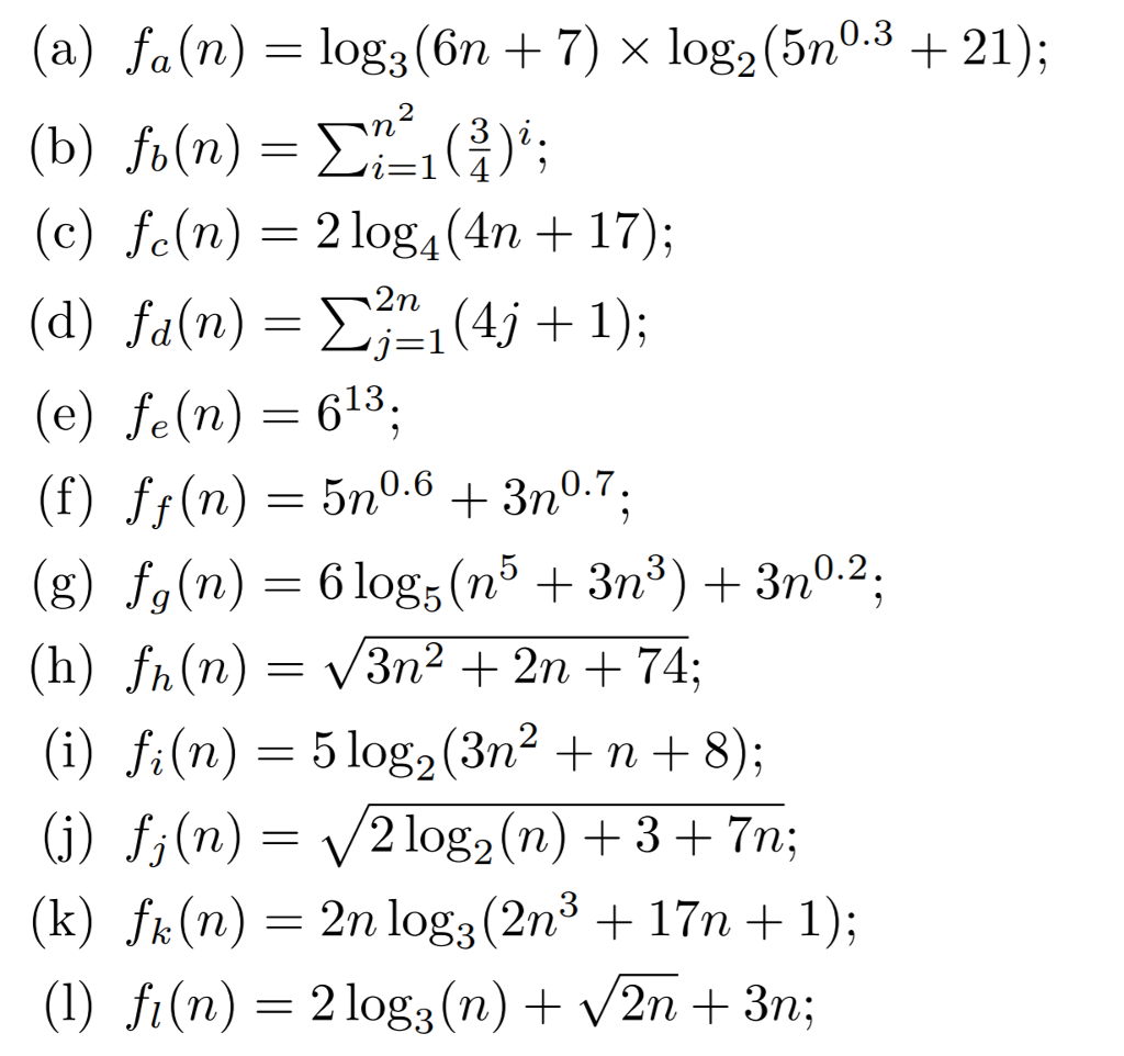
Question: The question type involves fiinding Big Theta. Please show work so that i can understand what's going on! Give the asymptotic complexity of each of
The question type involves fiinding Big Theta. Please show work so that i can understand what's going on! Give the asymptotic complexity of each of the following functions in simplest terms, and then order the functions by asymptotic dominance.


Give the asymptotic complexity of each of the following functions in simplest terms, and then order the functions by asymptotic dominance. That is, produce an ordering fi(n), f2(n), such that for all i, fi E O(i+). Wherever two consecutive functions in your ordering are asymptotically equivalent, indicate this by using the notation f E (f+1). You do not need to justify your answers for this
Step by Step Solution
There are 3 Steps involved in it
Get step-by-step solutions from verified subject matter experts
