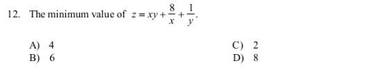
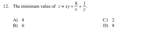
Question: This is in Differential Calculus. This is only multiple choice. Provide necessary solution. Thank you and Godbless. 12. The minimum value of z = xy

This is in Differential Calculus. This is only multiple choice. Provide necessary solution. Thank you and Godbless.

12. The minimum value of z = xy + A) 4 C) 2 B) 6 D) 8
Step by Step Solution
There are 3 Steps involved in it
Get step-by-step solutions from verified subject matter experts
