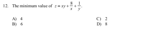
Question: This is in Differential Calculus. This is only multiple choice. Provide necessary solution. Thank you and Godbless. 12. The minimum value of z = xy

 This is in Differential Calculus. This is only multiple choice. Provide

This is in Differential Calculus. This is only multiple choice. Provide necessary solution. Thank you and Godbless.

necessary solution. Thank you and Godbless. 12. The minimum value of z

12. The minimum value of z = xy + A) 4 C) 2 B) 6 D) 8

Step by Step Solution

There are 3 Steps involved in it

1 Expert Approved Answer
Step: 1 Unlock blur-text-image
Question Has Been Solved by an Expert!

Get step-by-step solutions from verified subject matter experts

Step: 2 Unlock
Step: 3 Unlock

Students Have Also Explored These Related Mathematics Questions!