Question: this is statistics course and I need help with answering these questions. I attached formulas in case you can use it as a reference.Thank you
this is statistics course and I need help with answering these questions. I attached formulas in case you can use it as a reference.Thank you


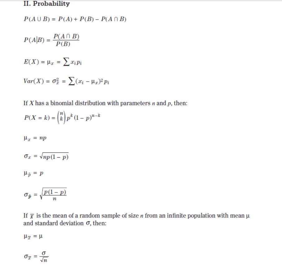
![you II. Probability PM U B) = PM) + P(B] Pull n](https://dsd5zvtm8ll6.cloudfront.net/si.experts.images/questions/2024/09/66ef6eeec2385_53466ef6eeea28c8.jpg)




II. Probability PM U B) = PM) + P(B] Pull n B) m = Lag?) Var-(X) = 0% = 2m 11:39-19: If X has a binomial distribution with parameters :1 and p, then: P(X = k) = (:)pt(1_ 13)": \"3:74!\" If E la the mean ofa random sample ofsize n from an innite population with mean p and standard deviation 0', then: T 0' \"i=7: III. Inferential Statistics Standardized test statistic: statistic - parameter standard deviation of statistic Confidence interval: statistic + (critical value) . (standard deviation of statistic) Single-Sample Statistic Standard Deviation of Statistic Sample Mean Sample Proportion p(1 - p) n Two-Sample Statistic Standard Deviation of Statistic Difference of sample means n2 Special case when 0 =02 Difference of P (1 - PI) + P2 (1 - P2) sample proportions n 1 n2 Special case when P = P2\fD Question 15 1 pts Eight volunteers will participate in a blind taste test to determine whether people can taste a difference between a brand name soft drink and an off-brand soft drink. Each participant will taste soda from two different cups and identify which cup they think contains the brand name drink. Assuming that people cannot taste a difference between the brand name soft drink and off-brand soft drink, what is the probability that at least 7 of the 8 participants will correctly identify the brand name soft drink. O 0.004 O 0.008 O 0.031 0.035 O 0.875D Question 13 1 pts A graduate student wants to study the effect of alcohol on people's attitudes towards risk-taking behavior, such as drinking and driving. She decides to poll every fifth person who exits a well-known bar in her town, and asks them questions such as "Do you think drinking and driving should be avoided at all cost?" Which of the following statements is true? O Her results are likely to be valid because she used systematic sampling. O Her results are likely to be invalid because she used systematic sampling. O Her results are likely to be invalid due to response bias. O Her results are likely to be valid because there is no control group of non-drinkers. O Her results are likely to be valid because it is a simple random sample.D Question 14 1 pts A marketing analyst at a major paint company determines that women decide the color of paint purchased in 85 percent of purchases of this particular company's paint products. Upon further analysis, she discovers that 75 percent of women customers are over the age of 30. If 40 percent of male decision-makers are under the age of 30, what is the probability that a randomly chosen customer is a decision-maker under the age of 30? O 0.12 O 0.18 O 0.21 O 0.27 O 0.30D Question 16 1 pts A least squares regression line was fitted to the height (in inches) versus age (in months) of a group of children ages 18 months to 36 months. The equation of the line is y = 29.5 + 0.21t, where y is the predicted height and t is the age of the child. A 20 month-old child in this group has an actual height of 32 inches. Which of the following is the residual height, in inches, for this child? O 1.5 O 1.7 O 5.9 O 3.4 O 5.9
Step by Step Solution
There are 3 Steps involved in it
Get step-by-step solutions from verified subject matter experts
