Question: this is statistics course and I need help with answering these questions. I attached formulas in case you can use it as a reference.Thank you
this is statistics course and I need help with answering these questions. I attached formulas in case you can use it as a reference.Thank you





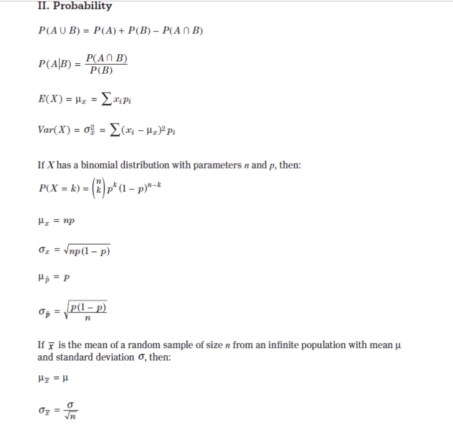
D Question 49 1 pts Which expression gives the probability that your fourth flip will be the first time that your coin lands showing heads? (0.61)(0.39) (0.61)4(0.39) O (0.61)3(0.39) O (0.39)4(0.61) O (0.39)3(0.61) D Question 50 1 pts One of your friends finally becomes suspicious of your "lucky coin" and decides to flip it multiple times. If he flips the coin 10 times, what is the probability that at least half of the flips land with heads up? O 0.15 O 0.35 O 0.50 O 0.65 O 0.85II. Probability PM U B) = PM) + P(B] Pull n B) m = Lag?) Var-(X) = 0% = 2m 11:39-19: If X has a binomial distribution with parameters :1 and p, then: P(X = k) = (:)pt(1_ 13)": \"3:74!\" If E la the mean ofa random sample ofsize n from an innite population with mean p and standard deviation 0', then: T 0' \"i=7: III. Inferential Statistics Standardized test statistic: statistic - parameter standard deviation of statistic Confidence interval: statistic + (critical value) . (standard deviation of statistic) Single-Sample Statistic Standard Deviation of Statistic Sample Mean Sample Proportion p(1 - p) n Two-Sample Statistic Standard Deviation of Statistic Difference of sample means n2 Special case when 0 =02 Difference of P (1 - PI) + P2 (1 - P2) sample proportions n 1 n2 Special case when P = P2\fDIRECTIONS: Use the following information to answer questions 48, 49, and 50. A coin is unevenly weighted such that there is a 61% chance that its heads side lands face up after a flip. Assume that each flip made using this coin is an independent event. D Question 48 1 pts Suppose that the first four coin flips have landed heads face up. What is the probability that your fifth toss, heads will land face up? Explain. 61% because independent events are affected by previous trials. 57% because independent events are affected by previous trials. 61% because independent events are not affected by previous trials. 57% because independent events are not affected by previous trials. 39% because independent events are not affected by previous trials
Step by Step Solution
There are 3 Steps involved in it
Get step-by-step solutions from verified subject matter experts
