Question: this is the form requirement Writing: Solutions should be presented in a balanced form, combining words and sen tences which explain the line of reasoning,














this is the form requirement














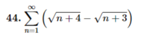
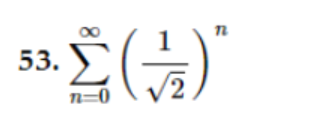
Writing: Solutions should be presented in a balanced form, combining words and sen tences which explain the line of reasoning, and also precise mathematical expressions, formulas and references justifying the steps you are taking are correct. In general, you must give a precise reason for why a sequence is divergent or convergent. Similarly, if the sequence is converge, please justify to the best of your ability the claimed limit in your answer. If you are using theorems in lecture and in the textbook, make that reference clear. { E. 9. specify nameumber of the theorem and section of the book.) Telescoping Series In Exercises 39-44, find a formula for the nth partial sum of the series and use it to determine whether the series converges or diverges. If a series converges, find its sum. 44. n+4 - n + 3 n=1\fOO 4 45. (4n - 3) (4n + 1)\fConvergence or Divergence Which series in Exercises 5376 converge, and which diverge? Give reasons for your answers. If a series converges, find its sum. \fCOS n7T 58 MIn Exercises 81-86, find the values of x for which the given geometric series converges. Also, find the sum of the series (as a function of x) for those values of x.00 81. > 2" xOO 85. sin"r 1=0 86. In c n n=0
Step by Step Solution
There are 3 Steps involved in it
Get step-by-step solutions from verified subject matter experts
