Question: Writing: Solutions should be presented in a balanced form, combining words and sen tences which explain the line of reasoning, and also precise mathematical expressions,






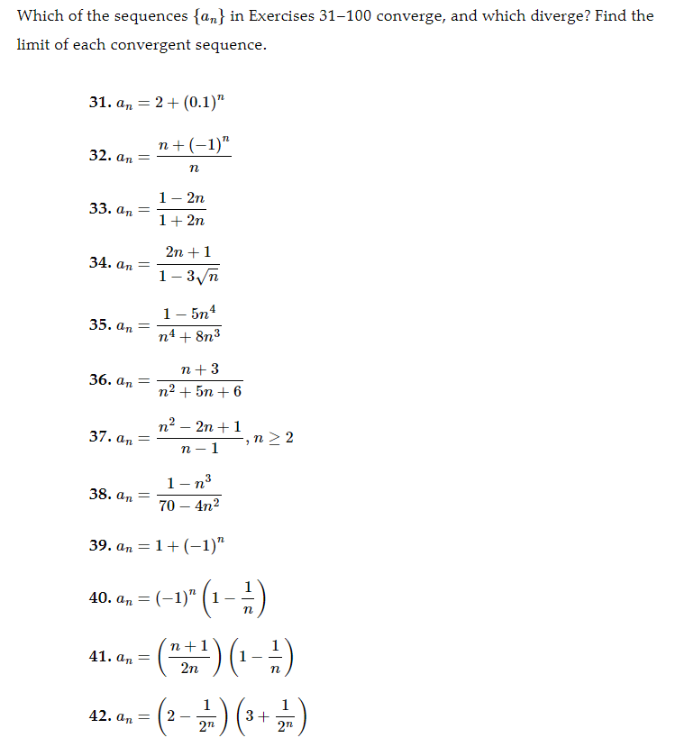
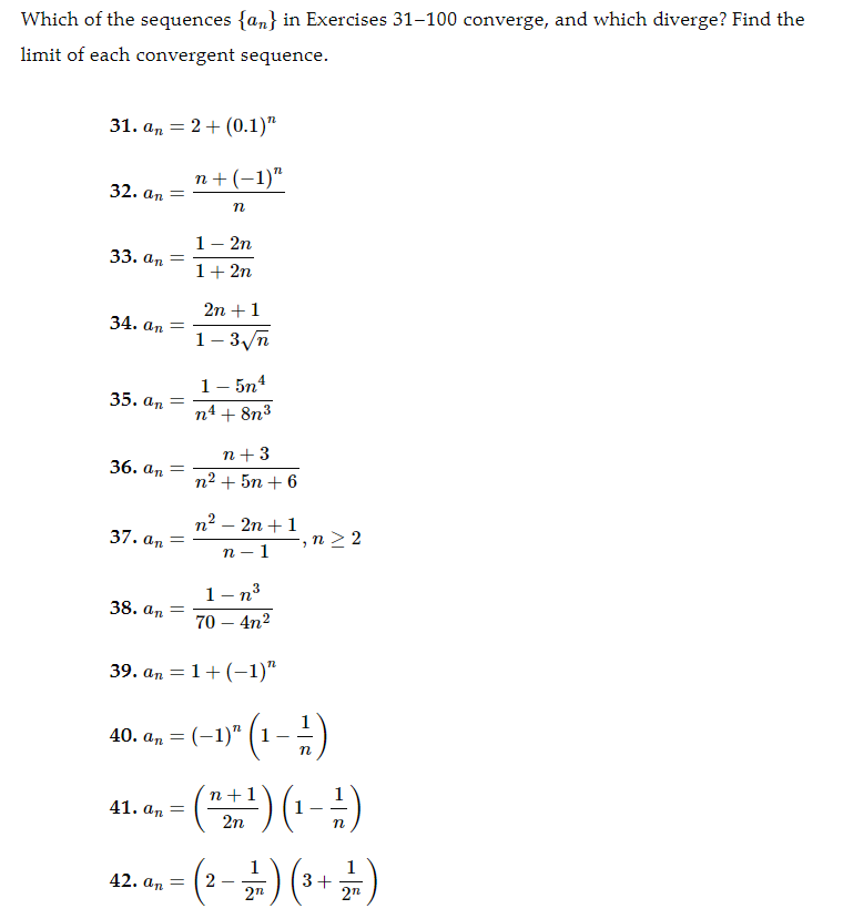
Writing: Solutions should be presented in a balanced form, combining words and sen tences which explain the line of reasoning, and also precise mathematical expressions, formulas and references justifying the steps you are taking are correct. In general, you must give a precise reason for why a sequence is rlinergent or convergent. Similarly, if the sequence is eonuerge, please justify to the best of your ability the claimed limit in your answer. If you are using theorems in lecture and in the textbook, mahe that reference clear. (E g. specify nameumber of the theorem and section of the boots.)] Which of the sequences {an} in Exercises 31-100 converge, and which diverge? Find the limit of each convergent sequence. 31. an = 2+ (0.1)" 32. an = n + (-1)" 1 - 2n 33. an = 1 + 2n 2n + 1 34. an = 1 - 3n 1 - 5n 35. an = n4 + 8n3 n + 3 36. an = n2 + 5n + 6 n' - 2n+ 1 37. an = -, n > 2 n - 1 1 -n 38. an = 70 - 4n2 39. an = 1+(-1)" 40. an = (-1)" (1-72 ) 41. an = n +1 2n ( 1 - _ ) 42. an = 2 - (3 + 272In Exercises 121124, determine whether the sequence is monotonic and whether it is bounded, 121' an 2 311+ 1 11+ 1 2 3 ! 121a\" 2 (n+1}I 2'3\" 123. an : n! 2 1 124. : 2 an n 2" In Exercises 125134, determine whether the sequence is monotonic, whether it is bounded, and whether it converges, 1 125. an: 1 H- 1 126.a:n_ _ T1" 2*11 127.51,}
Step by Step Solution
There are 3 Steps involved in it
Get step-by-step solutions from verified subject matter experts
