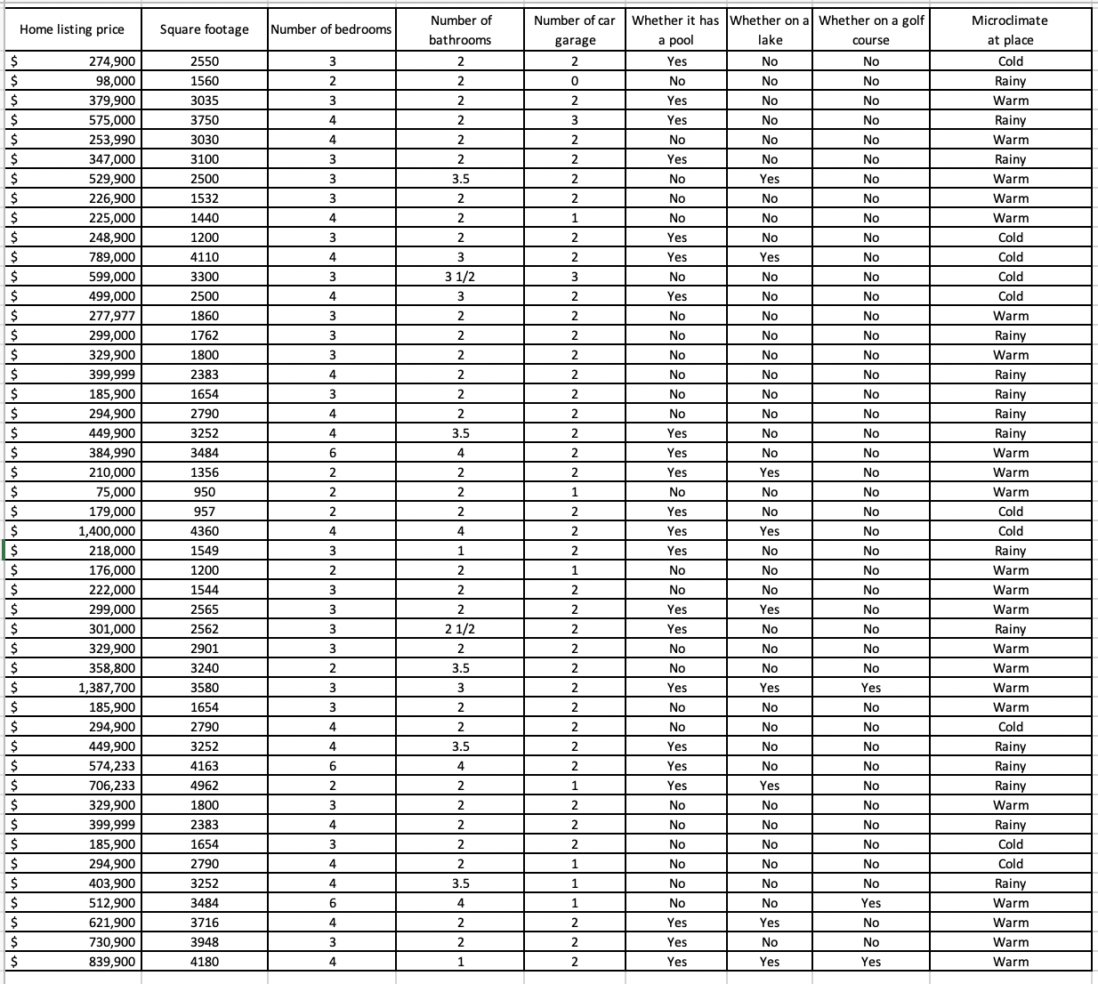
Question: This Question is based on the Data provided in the file: Quiz2_Regression analysis_data.xlsx. What percentage of listings have a cold microclimate? 21.28% 31.91% 46.81% 78.72%

- This Question is based on the Data provided in the file: Quiz2_Regression analysis_data.xlsx. What percentage of listings have a cold microclimate?
- 21.28%
- 31.91%
- 46.81%
- 78.72%
- 68.09%
- This Question is based on the Data provided in the file: Quiz2_Regression analysis_data.xlsx. Use the data on home listings to determine how the square footage ALONE influences the home listing price. What is the R Square of the regression when using square footage as the only predictor?
- 0.56
- 0.23
- 0.78
- 0.75
- 0.48
- This Question is based on the Data provided in the file: Quiz2_Regression analysis_data.xlsx
Use the data on home listings to determine how, this time, all the following factors influence the home listing price.
- Square footage
- Number of bedrooms
- Number of bathrooms
- Number of car garages
- Whether it has a pool
- Whether it has a lake
- Whether it has a golf course
- Microclimate, using the warm climate as the baseline
Write down the coefficient that indicates the effect of having a golf course on the listing price.
a. 340,100.64
b. 126.15
c. -35,686.29
d. 6,115.30
e. 80,402.84
4. This Question is based on the Data provided in the file: Quiz2_Regression analysis_data.xlsx. Predict the listing price of a house with 2 bedrooms, 1 bathroom, 1 car garage, no pool, no golf course, and a cold microclimate.
- 292,906.65
- 327,543.78
- 532,778.58
- 498,141.44
- 462,455.15
5. This Question is based on the Data provided in the file: Quiz2_Regression analysis_data.xlsx. Predict the listing price of a 3,000 square footage with 3 bedrooms, 2 bathrooms, 1 car garage, no pool, no lake, no golf course, and a warm microclimate.
- 285,240.07
- 250,602.94
- 836,690.80
- 292,906.65
- 532,778.58
Step by Step Solution
There are 3 Steps involved in it
Get step-by-step solutions from verified subject matter experts
