Question: Topic: Inference for More Than Two Independent Samples Good Day Statistics experts I would like the correct steps and detailed explanation for PART D of



Topic: Inference for More Than Two Independent Samples
Good Day Statistics experts I would like the correct steps and detailed explanation for PART D of the following exercirse





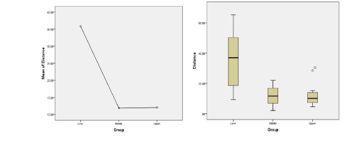
An advocacy group for faster emergency response times argues that relocating a police station further away from its current location would hurt members of the lower socioeconomic group the most, since they live the furthest away. Suppose that the group randomly surveyed 24 individuals and asked them their average commuting distance to the police station. Use the output below to conduct the appropriate analysis to make a recommendation to the group. Descriptives Distance 95% Confidence Interval for IN Mean Std, Deviation Sid. Error Lower Bound Upper Bound Minimum Maximum Low 35.8125 19.98367 7.06529 19.1057 52.5193 9.40 65.40 Middle 11.8875 6.65699 2.35360 6.3221 17.4529 2.10 22.00 Upper 12.0375 7.51436 2.65673 5.7553 18.3197 4.60 28.60 Total 24 19.9125 16.85579 3.44067 12 7949 27 0301 210 65.40\fNormal 9-Q Pict of Distance Nomal Q-0 Plot of Distance Normal 9-Q Plot of Distance Group! Lipper n Expected Normal Wilus Expected Normal Walum Expected Moral Values IF Observed ValueANOVA Distance Sum of Squares Mean Square F Sig. Between Groups 3033.810 2 1516.905 9.099 001 Within Groups 3500.896 21 166,709 Total 6534.706 23 Multiple Comparisons Dependent Variable: Distance Bonferroni Mean 95% Confidence Interval Difference (- () Group (J) Group J') Std. Error Sig Lower Bound Upper Bound Low Middle 23.92500 6.45580 004 7-1312 40.7180 Upper 23.77500 6.45580 004 6.9812 40.5688 Middle Low -23.92500 6.45580 004 -40 7188 -7.1312 Upper - 15000 6.45580 1.000 -16 9436 16.6438 Upper LOW -23.77500 6.45580 004 -40.5686 -6.9812 Middle 15000 6.45580 1.000 -16 6438 16.9438 *. The mean difference is significant at the 0.05 level.a) Evaluate the assumptions for this test. Based on your conclusions, can the results of the test be trusted. More specifically, (i) determine whether you can pool the standard deviations; (ii) evaluate on the appropriateness of the test based on the boxplots and qqplots; (iii) use the boxplots to determine if there may be a difference in the means. Ensure you highlight which means you expect to be different and why; (iv) comment on the means plot. b) Regardless of your conclusions in part (a), determine whether at least one of the population mean distance travelled is different from the others. Use the 1% level of significance for your analysis. Also calculate the pooled variance and the percentage of variation in distance that is accounted for by the model. c) Regardless of your conclusions in part (a), determine whether at least one of the population mean distance travelled is different from the others. Use the 5% level of significance for your analysis. Also calculate the pooled standard deviation and the percentage of variation in distance that is accounted for by the model. d) If applicable, determine which means are different using the 1% level of significance. Ensure you write out each test as shown in class. If not applicable, explain why
Step by Step Solution
There are 3 Steps involved in it
Get step-by-step solutions from verified subject matter experts
