Question: True or false questions: If 1 0. CIf an > 0 for all natural numbers n and the sequence (an ) is decreasing, then there
True or false questions:




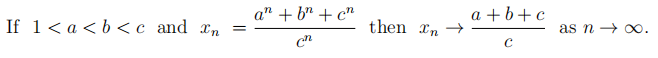
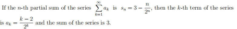
If 1 0. CIf an > 0 for all natural numbers n and the sequence (an ) is decreasing, then there exists a real number L > 0 such that an -> L as n -+ 00.\fn If the n-th partial sum of the series E ak is Sn = 3 - mn, then the k-th term of the series k=1 k - 2 is OK = and the sum of the series is 3. k
Step by Step Solution
There are 3 Steps involved in it
1 Expert Approved Answer
Step: 1 Unlock
Question Has Been Solved by an Expert!
Get step-by-step solutions from verified subject matter experts
Step: 2 Unlock
Step: 3 Unlock
