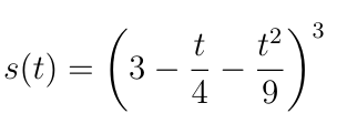
Question: Use appropriate rules o f differentiation t o determine the derrivatives o f the following function: s ( t ) = ( 3 - t
Use appropriate rules differentiation determine the derrivatives the following function:
Step by Step Solution
There are 3 Steps involved in it
1 Expert Approved Answer
Step: 1 Unlock
Question Has Been Solved by an Expert!
Get step-by-step solutions from verified subject matter experts
Step: 2 Unlock
Step: 3 Unlock
