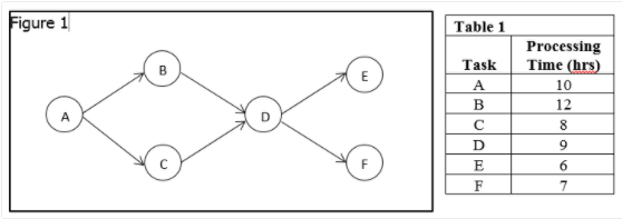
Question: Use CPM to solve the project management network below using the processing times contained in Table 1. Then match the answers to the questions. Match
Use CPM to solve the project management network below using the processing times contained in Table 1. Then match the answers to the questions.


Match each of the options above to the items below.
-
What is the ES time for Task D?
-
What is the project completion time?
-
What is the critical path?
Step by Step Solution
There are 3 Steps involved in it
Get step-by-step solutions from verified subject matter experts
