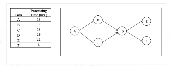
Question: Task Processing Time (hrs. 13 Use CPM to solve the project management network below using the processing times contained in the accompanying table. Then match


Step by Step Solution
There are 3 Steps involved in it
1 Expert Approved Answer
Step: 1 Unlock
Question Has Been Solved by an Expert!
Get step-by-step solutions from verified subject matter experts
Step: 2 Unlock
Step: 3 Unlock
