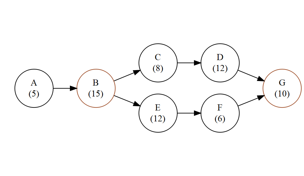
Question: Use the process shown in the Figure. All the functions need to be performed, but the two paths (i.e., C-D and E-F) can be performed
Use the process shown in the Figure. All the functions need to be performed, but the two paths (i.e., C-D and E-F) can be performed simultaneously. Process times for each step are in parenthesis and given in minutes per unit.

Compute the direct labor utilization for each path (A-B-C-D-G, and A-B-E-F-G). What is the average of direct labor utilization for the process?
a) 70%
b) 50%
c) 65%
d) 25%
(8) (12) B (15) G (10) (5) (12)Step by Step Solution
There are 3 Steps involved in it
1 Expert Approved Answer
Step: 1 Unlock
Question Has Been Solved by an Expert!
Get step-by-step solutions from verified subject matter experts
Step: 2 Unlock
Step: 3 Unlock
