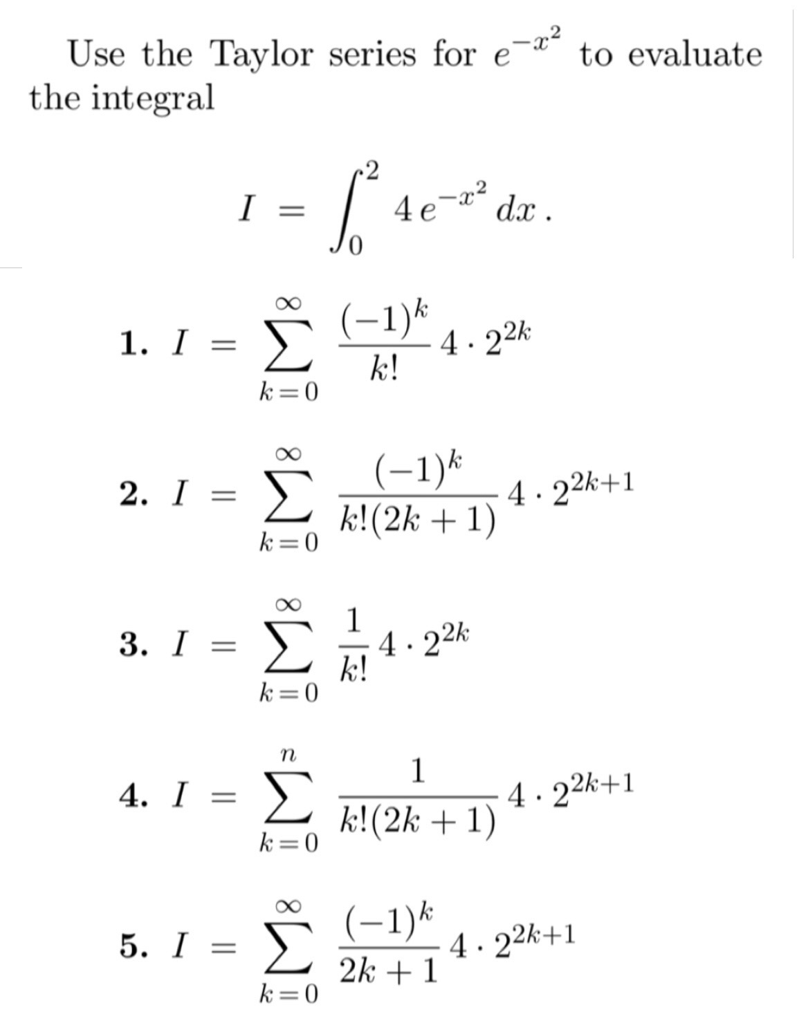
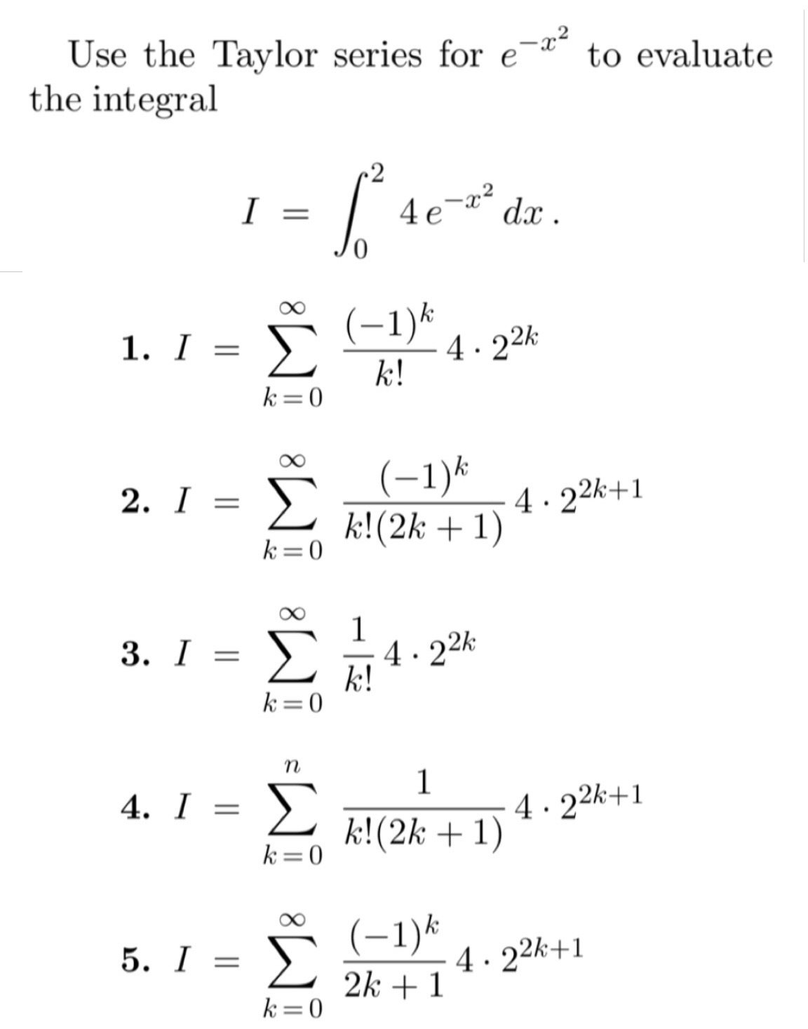
Question: Use the Taylor series for e to evaluate the integral I = dx . E (-1)k 1. I = 4 . 22k k! k=0


Use the Taylor series for e " to evaluate the integral I = dx . E (-1)k 1. I = 4 . 22k k! k=0 E (-1)k 2. I = 4 . 22k+1 k! (2k + 1) k=0 OO 3. I = 4 . 22k K! k=0 n 4. I = > 4 . 22k+1 k! (2k + 1) k= 0 (-1) k 5. 1 = 4 . 22k+1 2k + 1 k= 0
Step by Step Solution
There are 3 Steps involved in it
Get step-by-step solutions from verified subject matter experts
