Question: Using Master Theorem, Solve the reccurences Using Master Theorem, Solve the reccurences T(n) = 3T(n/4) + 1. T(n) = 5T(n/3) + n. T(n) = 9T(n/3)
Using Master Theorem, Solve the reccurences

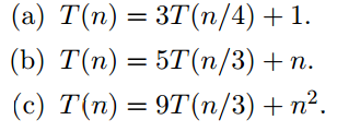
Using Master Theorem, Solve the reccurences T(n) = 3T(n/4) + 1. T(n) = 5T(n/3) + n. T(n) = 9T(n/3) + n^2
Step by Step Solution
There are 3 Steps involved in it
Get step-by-step solutions from verified subject matter experts
