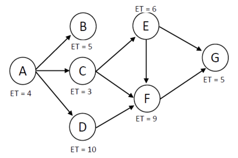
Question: Using the above network diagram, calculate the earliest expected completion time (T E ) for activity G, the Latest expected completion time (T L )
Using the above network diagram, calculate the earliest expected completion time (TE) for activity G, the Latest expected completion time (TL) for activity A, and the Latest expected completion time (TL) for activity B.

Step by Step Solution
There are 3 Steps involved in it
Get step-by-step solutions from verified subject matter experts
