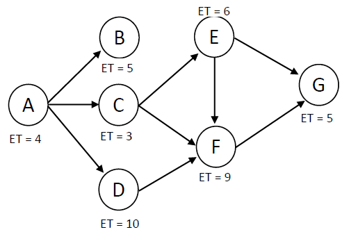
Question: Using the above network diagram, calculate the Latest expected completion time ( TL ) for activity B , Using the above network diagram, calculate the
Using the above network diagram, calculate the Latest expected completion time TL for activity B Using the above network diagram, calculate the earliest expected completion time TE for activity G
Step by Step Solution
There are 3 Steps involved in it
1 Expert Approved Answer
Step: 1 Unlock
Question Has Been Solved by an Expert!
Get step-by-step solutions from verified subject matter experts
Step: 2 Unlock
Step: 3 Unlock
